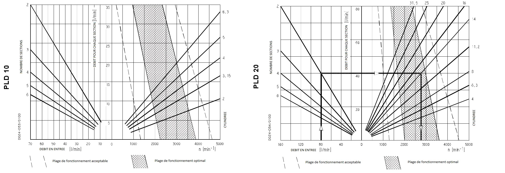
Diviseurs de débit volumétriques
Diviseur GR1 - PLD10 : débit maxi par entrée 35L/min - Pression maxi 250bar
Diviseur GR2 - PLD20 : débit maxi par entrée 80L/min - Pression maxi 250bar

Diviseur GR1 - PLD10 : débit maxi par entrée 35L/min - Pression maxi 250bar
Diviseur GR2 - PLD20 : débit maxi par entrée 80L/min - Pression maxi 250bar
